+8 +13 6 Answer
2
Solved 1235 6 7 8 910 12 一13 1 3 1 1 2 2 1 1 11 Chegg Com
Solved Use The Linear System Below To Answer The Following Questions 2x 8 Y 6 3x 2y 6 13 A Solve Using The Method Of Substitution B Check Yo Course Hero
Www Ozarktigers Org Cms Lib Mo Centricity Domain 533 Doc 006 Pdf
8 13 6 18 Brainly In
Killer Kitties Bensalem Township School District Overview Section 4 Threats To Biodiversity Killer Kitties Teacher Notes And Answers Continued Worksheet Killer Kitties With
Go Math Grade 2 Answer Key Chapter 5 2 Digit Subtraction Go Math Answer Key
8 6 13 8 Maths Whatsapp Puzzle Puzzle Fry
Answered 2 Is 14 13 12 11 10 9 8 7 6 5 4 Bartleby
Www Gcsd9 Net Userfiles 345 My files 6th grade 13 a day math answer key Pdf Id 5580
Go Math Grade 1 Answer Key Chapter 6 Count And Model Numbers Go Math Answer Key
Practice Exam 1 Answer Computer Science I Cs 162 Docsity
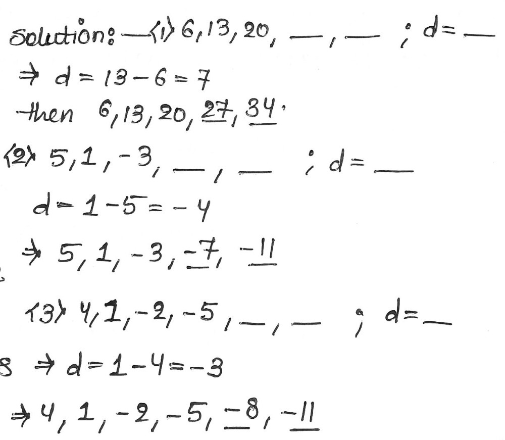
Activities A Write The Missing Terms In This Seq Gauthmath
Math Puzzle Answers Are 8 6 13 8
1
Fibonacci Sequence
Give The Names Of The Groups Of Following Animals Example Buffaloes Answer A Gang Of Buffaloes 1 Bees 2 Bears Animal Groups Picture Talk Animals
Http Www Gvsd Org Cms Lib02 Pa Centricity Domain 670 Course 2 inequalities graphing hw completed final Pdf
A B 8 X Y 6 A X 13 And B Y 8 What Is The Value Of A B X And Y Quora
Asap Assembly Language Question Consider The Fo Chegg Com
Grade 8 Unit 4 Practice Problems Open Up Resources
8 9 21 5 Brainly In
Ii Directions Find The Missing Terms Of The Sequ Gauthmath
Strategy To Solve Complex Problems Ppt Download
8 6 8 13 Brainly In
A B 8 B D 8 A C 13 C D 6 What Are Values Of A B C And D Can You Solve This Youtube
8 6 13 8 Brainly In
Puzzle 8 6 2 4 12 5 8 15 13 10 X 18 Find X Quora
Eureka Math Grade 1 Module 3 Lesson 13 Answer Key Ccss Math Answers
Cereal Grains Homework Plant Science Homework 10 Cereal Grains 21 Points Name Studocu
Biodiversity Is Amazingworksheet
Module 6 Answer Key For Homework
Happy Saint Valentine S Day Online Presentation
Form Names Of Countries Puzzle Puzzles World
A Find The Next Three Terms Of The Sequence 1 Gauthmath
Solved Print The Letter A B C D E Which Correspondi Chegg Com
Can You Fill These Boxes Correctly 8 6 13 8 With Answer Forward Junction Puzzles In 21 Maths Puzzles Math Answers Math Square Puzzles
Example 12 Simplify I 12 4 X 9 3 X 4 6 3 X 8 2 X 27 Ii 2 3
Math Puzzle Answers Are 8 6 13 8
6 8 71 Move Two Matches Puzzling Stack Exchange
Http Www Pendleton Kyschools Us Userfiles 124 Classes 6251 6 4 practice ab rectangle and rhombus Pdf
1
101 Select The Best Answer 1 Simplify 10 7 4 9 A 15 C 12
Math Puzzle Answers Are 8 6 13 8
Best Mathematical Puzzle Sollution 8 6 13 8 Puzzle Only 5 Of People Can Solve Youtube
Calameo Future E Book
Classwork Answer Key
Monetary And Fiscal Policy Worksheet 4 Moon Valley High School
Il Find The Next Three Terms In Each Sequence Th Gauthmath
Www Uen Org Lessonplan Download 8710 Lessonid 4719 Segmenttypeid 2
Module 4 Answer Key For Homework
Years 1 2 Number And Algebra By Ready Ed Publications Issuu
8 6 13 8 Brainly In
Years 1 2 Number And Algebra By Ready Ed Publications Issuu
What Is The Next Number In This Sequence 16 14 13 12 11 10 9 8 7 7 6 Why Quora
Math Test If 9 90 8 72 7 56 6 42 3 Youtube
Learning Task 4 Directions Complete The Numerical Gauthmath
Http Www Mrfischer Com Wp Content Uploads Periodic Table Trends Key
Math 1050 4 Midterm Exam 2
Big Ideas Math Answers Grade 1 Chapter 8 Add And Subtract Tens Big Ideas Math Answers
Algebra 2 Ch 6 Solutions Key Ch 6 Solutions Key Pdf Peninsula
Grade 8 Mathematics Module 1 Topic A Lesson 1 Engageny
Www Tumwater K12 Wa Us Cms Lib Wa Centricity Domain 13 Lesson 2 8 rsg solutions Pdf
8 6 13 8 Brainly In
6 As 1 0 S X 5x 6x 4 The Power Chegg Com
8 6 13 8 Brainly In
8 6 13 8 Puzzle Box Riddles Guru
Math Puzzles With Answers Boost Your Brain Power Mentalup
Www Boone K12 Ky Us Userfiles 1085 Classes 5464 Userfiles 1085 My files Unit 2b study guide extra practice Pdf Id
8 6 13 8 Brainly In
Which Number Will Come Next In This Sequence 13 10 15 8 17 6 19 Quora
Http Mpregional Org Documents 16 2 6th grade simple solutions lessons 61 70 Pdf
Http Powerview Sunrisesd Ca Ourpages Auto 3 25 Adams work package march 25 Pdf
Gmat Vedic Mathematics
Puzzle 8 6 2 4 12 5 8 15 13 10 X 18 Find X Quora
Irving Greatheartsamerica Org Wp Content Uploads Sites 4 04 6 Math Textbookpacket 0406 Pdf
Http Www Colby Edu Chemistry Ch142 Lab Ch142exp5titrationprelab Pdf
7 6 13 1 D A S 1 3 D 3 4 7 5 D Gauthmath
8 9 21 5 Brainly In
Warm Up Problem Of The Day Lesson Presentation Lesson Quizzes Ppt Download
1
8 13 6 8 In Box Answer Brainly In
Person In Room 13 Puzzle Answer Check Details Inside
Ios App Crash On Pushviewcontroller But Only In Testflight Stack Overflow
Www Mayfieldschools Org Downloads Img25 Pdf
8 48 38 0 80 10 Brainly In
Name The Country Emoticons Quiz Puzzles World
Ppt 5 8 Powerpoint Presentation Free Download Id
Consider The Following H 1 3 5 7 9 U 10 8 6 6 3 A Chegg Com
Eureka Math Grade 8 Module 4 Lesson 13 Answer Key Ccss Math Answers
4 5 6 7 8 R R R R R 9 10 11 12 13 R R R R R 10 8
Solved 8 Iterative Algorithm Understanding 13 Points M Chegg Com
8 13 6 8 Brainly In
5 3 Adding And Subtracting Mixed Numbers Warm Up Problem Of The Day Ppt Video Online Download
Big Ideas Math Answers Grade 2 Chapter 2 Fluency And Strategies Within Big Ideas Math Answers
Best Mathematical Puzzle Sollution 8 6 13 8 Puzzle Only 5 Of People Can Solve Youtube
Course Multiplying Mixed Numbers 5 8 Multiplying Mixed Numbers Course 1 Warm Up Warm Up Lesson Presentation Lesson Presentation Problem Of The Day Ppt Download
Q Tbn And9gcr4zbyisb3zkjhrcynm S0lk7fiq8r2k2a2icngeh5qbdt8a Gc Usqp Cau
4 Square Addition 8 6 13 8 Box Box 8 Puzzle Box Box 6 Whatsapp Puzzle Youtube
14 W 13 A 12 11 10 9 9 8 7 6 5 5 4 1 2 3 4 07 6 7 Chegg Com
How To Solve 13 8 6 8 Puzzle Answer Answers Brain Teasers And Answers Riddles Brain Youtube
Www Lewistown K12 Mt Us Userfiles 68 Classes 1081 11 6 practice answers Pdf Id 4931
Solved D Learning Task 1 Multiply The Following Write Your Answer In Your Notebook 4 X 3 2 6 X 6 3 4 X 5 4 8 X 2 5 7 X 3 B Course Hero
Answer Me Please Find Attached The Box 8 6 13 8 Brainly In


